兵团政务网 无障碍浏览

她生活丨生育津贴直接发放至个人,这些地方已实现

发布时间:25年09月02日 信息来源: 编辑:兵团妇联
【字体: 打印本页
作者:央视新闻微信公众号

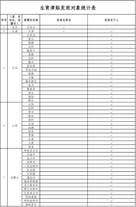
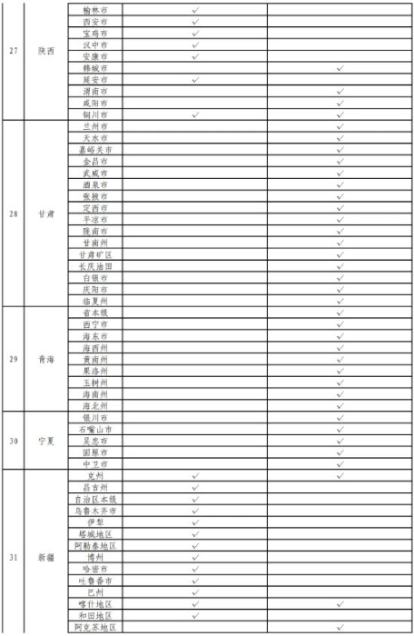
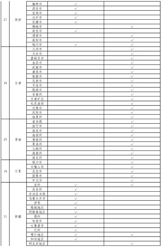
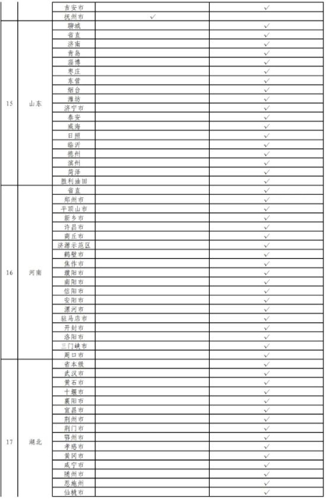
国家医保局消息,目前,全国有20个省份(含新疆生产建设兵团)全面实现生育津贴直接发放至个人,即河北、山西、内蒙古、吉林、黑龙江、上海、浙江、福建、山东、河南、湖北、海南、重庆、四川、云南、西藏、甘肃、青海、宁夏、新疆生产建设兵团,实现生育津贴直接发放至个人的统筹区占比将近八成。

各统筹区生育津贴发放具体情况详见下表。